Sygnalizator głosowo-optyczny SGO-Pgz3

Zewnętrzny sygnalizator głosowo-optyczny SGO-Pgz3 przeznaczony jest do sygnalizowania pożaru przemiennie sygnałem akustycznym z sygnałem komunikatu głosowego oraz sygnałem błyskowym.

Produkty współpracujące:

Opis

UWAGA! Dokumenty do pobrania po zalogowaniu.

ZEWNĘTRZNY SYGNALIZATOR GŁOSOWO-OPTYCZNY SGO-Pgz3 POSIADA DOKUMENTY WYDANE PRZEZ CNBOP-PIB:

  • CERTYFIKAT STAŁOŚCI WŁAŚCIWOŚCI UŻYTKOWYCH NR 1438-CPR-0823
  • ŚWIADECTWO DOPUSZCZENIA NR 4629/2022

Przeznaczenie

Sygnalizator głosowo-optyczny SGO-Pgz3 przeznaczony jest do sygnalizowania pożaru przemiennie sygnałem akustycznym i sygnałem komunikatu słownego (sekwencja zgodna z normą EN 54-3:2001+A1:2002+A2:2006). Dodatkowo sygnalizator generuje błyskowy sygnał optyczny (zgodnie z normą EN 54-23:2010). Sygnalizator SGO-Pgz3 przeznaczony jest do pracy na zewnątrz budynku, może być również montowany wewnątrz pomieszczeń.

Opis konstrukcji

Sygnalizator posiada obudowę wykonaną z tworzywa niepalnego, w której znajdują się podzespoły elektroniczne. Obudowa składa się z trzech części: korpusu z zamontowanym głośnikiem oraz układem elektronicznym, klosza przykrywającego źródło światła oraz pokrywy z otworami umożliwiającymi emitowanie dźwięku ze znajdującego się w środku głośnika. Pod pokrywą umieszczone są: złącze zasilające, złącze do podłączenia wyłącznika WSD-1, złącze do realizacji synchronizacji, złącze micro USB oraz potencjometr służący do regulacji natężenia dźwięku. Złącze zasilające posiada trzy wyprowadzenia oznaczone „+1”, „+2”, „GND”. Podłączenie napięcia do wejść sygnalizatora umożliwia odtwarzanie komunikatów zgodnie z tabelą zamieszczoną poniżej. Złącze USB służy do kopiowania komunikatów z komputera PC do pamięci wewnętrznej sygnalizatora. Sygnalizator umożliwia odtwarzanie jednego z 18 wzorów sygnału akustycznego lub brak sygnału akustycznego. Fabrycznie sygnalizator ma w pamięci zapisane trzy komunikaty oraz ustawioną syrenę pożarową.

Współpraca z wyłącznikiem WSD-1

W przypadku, gdy zaistnieje potrzeba lokalnego wyłączenia sygnalizatora, użytkownik może wykorzystać wyłącznik sygnału dźwiękowego WSD-1. Sygnalizator ma blok przyłączeniowy służący do podłączenia wyłącznika. Po podłączeniu wyłącznika WSD-1, naciśnięcie klawisza powoduje wyłączenie sygnału dźwiękowego sygnalizatora – pozostawiając sygnał optyczny. Stan ten jest aktywny tak długo jak długo na zaciskach sygnalizatora jest obecne napięcie zasilania. Zadziałanie wyłącznika sygnalizowane jest diodą LED umieszczoną na klawiszu wyłącznika.

UWAGA! Wyłącznik WSD-1 zasilany jest bezpośrednio z bloku przyłączeniowego sygnalizatora. Nie należy podłączać zewnętrznego źródła zasilania do zacisków bloku WSD-1.

Oznaczenia / odmiany

Sygnalizator SGO-Pgz3 występuje w 3 odmianach, które różnią się między sobą barwą generowanego błysku.

Oznaczenie / odmiana Opis
SGO-Pgz3 zewnętrzny sygnalizator głosowo-optyczny generujący światło czerwone, klosz lampy w kolorze czerwonym
SGO-Pgz3/śb zewnętrzny sygnalizator głosowo-optyczny generujący światło białe, klosz lampy w kolorze białym
SGO-Pgz3/śbcz zewnętrzny sygnalizator głosowo-optyczny generujący naprzemiennie światło białe oraz czerwone, klosz lampy w kolorze białym

UWAGA! Odmiany SGO-Pgz3/śb, SGO-Pgz3/śbcz nie są objęte Świadectwem Dopuszczenia!

UWAGA! Pod wszystkie odmiany sygnalizatorów SGO-Pgz3 zalecana jest puszka PIP-3AN/1,25A!

Otwieranie

W celu otwarcia sygnalizatora należy: wykręcić wkręty mocujące pokrywę do korpusu i zdjąć pokrywę.

Zamykanie

W celu zamknięcia sygnalizatora należy ułożyć pokrywę na korpusie sygnalizatora, a następnie dokręcić wkręty mocujące.

Dane techniczne

Typ sygnalizatora głosowo-optyczny
Napięcie zasilania 20-32,5 V DC
Pobór prądu w stanie spoczynku 0 mA
Pobór prądu w stanie alarmowania <1100 mA*
Pobór mocy w stanie alarmowania <26,4 W*
Poziom dźwięku w odległości 1 m >100 dB*
Częstotliwość błysku ~0,5 Hz
Czas błysku ~190 ms
Czas pomiędzy błyskami ~1800 ms
Kategoria obszaru pokrycia O
Typ środowiskowy typ B
Temperatura pracy -25°C ÷ +70°C
Stopień ochrony (kod IP) IP33C
Stopień ochrony (kod IK) nie dotyczy
Max. przekrój przewodu 1,5 mm²
Wymiary 312 x 295 x 95 mm
Masa ~1402 g

*dla Uz=24 V DC, Po=20Wrms, f=1 kHz

UWAGA! Pod wszystkie odmiany sygnalizatorów SGO-Pgz3 zalecana jest puszka PIP-3AN/1,25A!

Dodatkowe

Sterowanie

Podłączenie napięcia zasilania na odpowiednie zaciski wyzwala generowanie sekwencji alarmowej oraz sygnału błyskowego.

kliknij, aby powiększyć

UWAGA! Podanie napięcia zasilania na: wejście +1 spowoduje odtworzenie komunikatu K1.mp3, wejście +2 spowoduje odtworzenie komunikatu K2.mp3, wejścia +1 oraz +2 spowoduje odtworzenie komunikatu K3.mp3.

Synchronizacja:

W przypadku potrzeby zbudowania sieci sygnalizatorów pracujących synchronicznie, należy połączyć ze sobą wszystkie linie „SA” sygnalizatorów wchodzących w skład jednej sieci oraz analogicznie linie „SB”.

Jako interfejs komunikacyjny wykorzystano 2 – przewodowy standard magistrali CAN. Linia „SA” odpowiada linii CAN H, natomiast linia „SB” linii CAN L. Po podłączeniu napięcia zasilania do zacisków wszystkich sygnalizatorów, zaczynają one pracować synchronicznie (światło i dźwięk). W momencie, gdy w sieci pojawi się sygnalizator z wartością „autoaktualizacja” ustawioną na 1, zawartość pamięci tego sygnalizatora zostanie skopiowana do pozostałych sygnalizatorów znajdujących się w sieci. Czas trwania procesu kopiowania pamięci uzależniony jest od ilości oraz długości nagrań. Przykładowo czas kopiowania plików o łącznej wielkości 1,95MB trwa około 10 minut. Po skopiowaniu zawartości pamięci, sieć sygnalizatorów uruchomi się, o ile proces kopiowania przebiegł pomyślnie. Wystąpienie błędów podczas procesu kopiowania zostanie zasygnalizowane krótkimi błyśnięciami lampy sygnalizatora, z którego zawartość pamięci była kopiowana oraz sygnalizatora, w którym wystąpił błąd. Podczas kopiowania sygnalizatory emitują krótkie ciche impulsy akustyczne.

kliknij, aby powiększyć

UWAGA! Do prawidłowej pracy magistrali wymagane jest stosowanie rezystorów 120Ω na końcach magistrali. W ramach jednej sieci może znajdować się nie więcej niż 10 sygnalizatorów. Długość linii synchronizacji nie powinna przekraczać 400 m (testowane przy użyciu przewodu typu YnTKSYekw, 150nF/km, 0,7mH/km, 75Ω/km).

Fabrycznie wgrane komunikaty

Komunikat 1:
Uwaga! Uwaga! W budynku wykryto pożar, proszę zastosować się do instrukcji przeciwpożarowej.
Attention! Attention! Fire in the building, please follow fire safety instructions immediately.
Achtung! Achtung! Im Gebäude wurde Brand entdeckt, richten Sie sich bitte nach den Brandschutzmaßnahmen.

Komunikat 2:
Uwaga! Uwaga! Zagrożenie zostało zlikwidowane, odwołuje się alarm ewakuacyjny.
Attention! Attention! The fire risk has been eliminated, fire alarm has been cancelled.
Achtung! Achtung! Die Brandgefahr wurde beseitigt, der Evakuierungsalarm wird abgesagt.

Komunikat 3:
Uwaga! Uwaga! Z powodu zagrożenia pożarowego budynku, zaistniała potrzeba ewakuacji. Proszę o niezwłoczne opuszczenie budynku, najkrótszą z możliwych dróg.
Attention! Attention! There is fire risk in the building, evacuation is required. Please leave the building immediately by the shortest possible route.
Achtung! Achtung! Im Gebäude wurde Feuergefahr gemeldet und das Gebäude muss Evakuiert werden. Bitte verlassen Sie sofort das Gebäude über den nächstgelegenen Ausgang.

Programowanie

Do programowania zalecane jest wykorzystanie Kabla USB do sygnalizatorów.

Sygnalizator do prawidłowej pracy wymaga pliku konfiguracyjnego oraz plików *.mp3 z treściami komunikatów (znajdują się fabrycznie w pamięci urządzenia). W celu skopiowania własnych plików z nagraniami należy odłączyć napięcie zasilania od zacisków sygnalizatora. Następnie należy podłączyć sygnalizator do portu USB komputera PC/laptopa za pomocą przewodu USB A/micro USB (wymagana funkcja transmisji danych). Po podłączeniu przewodu sygnalizator będzie widoczny w systemie operacyjnym jako urządzenie pamięci masowej. Następnie należy skopiować pliki z nagraniami dźwiękowymi do sygnalizatora.

Użytkownik powinien pamiętać o zachowaniu nomenklatury nazw plików z nazwami rozpoznawanymi przez sygnalizator, tzn. komunikat pierwszy „K1.mp3”, komunikat drugi „K2.mp3”, itd.

Kolejnym etapem jest modyfikacja pliku konfiguracyjnego. W pliku tym użytkownik wybiera numer syreny, jak również opcję autoaktualizacji. Użytkownik ma do wyboru 1 z 18 wzorów syreny lub brak syreny.

W przypadku utraty pliku konfiguracyjnego, plik dostępny jest do pobrania na stronie www.w2.com.pl (po zalogowaniu).

UWAGA! Opcja autoaktualizacji ma znaczenie tylko wówczas, gdy sygnalizatory pracują w sieci.

img
FAQ

Sygnalizator głosowo-optyczny SGO-Pgz3 / Poznaj najczęściej zadawane pytania i odpowiedzi odnośnie tego produktu

Twoje pytania, nasze odpowiedzi: Niezależnie od tego, czy jesteś nowym użytkownikiem, czy stałym klientem, nasza baza odpowiedzi zawiera bogactwo informacji, które pomogą Ci lepiej zrozumieć nasze produkty. Odkryj odpowiedzi opracowane przez naszych ekspertów.

Gdzie można znaleźć opis dostępnych komunikatów głosowych?

Treść komunikatów głosowych jest opisana w Dokumentacji Techniczno-Ruchowej (DTR) oraz ulotce produktowej wyrobu. Dodatkowo treści komunikatów głosowych dla sygnalizatorów certyfikowanych są również zawarte w Świadectwie Dopuszczenia wydanym dla wyrobu przez CNBOP-PIB.

Gdzie można znaleźć opis dostępnych wzorów dźwięku (syren)?

Wzory dźwięku (syreny) są opisane w Dokumentacji Techniczno-Ruchowej (DTR) oraz ulotce produktowej wyrobu. Dodatkowo wzory dźwięku są również zawarte w Świadectwie Dopuszczenia wydanym dla wyrobu przez CNBOP-PIB.

Jaki wpływ ma przekrój przewodów na spadki napięć?

Im większy przekrój żył przewodu, tym niższa jego rezystancja, a co za tym idzie mniejsze spadki napięć. Przykładowo przewód HDGs 1x2x1,5 mm2 posiada rezystancję żył R = 12,1 Ω/km, podczas gdy przewód HTKSH 1x2x2,5 mm2 posiada rezystancję żył 7,41 Ω/km. W celu obliczenia spadku napięć należy wziąć pod uwagę długość linii oraz założyć współczynnik bezpieczeństwa związany z długością przewodu, który może zostać objęty pożarem (wzrost jego rezystancji).

Jaki wpływ ma tłumienność przegród na poziom sygnału alarmowego?

Przeszkody w postaci np. drzwi mają znaczący wpływ na poziom sygnału alarmowego. Dla tradycyjnych drzwi przyjmuje się tłumienność ok. 20 dB, a dla drzwi przeciwpożarowych nawet ok. 30 dB. W takim przypadku praktycznie niemożliwym jest zapewnienie wymaganego poziomu dźwięku w miejscach, gdzie sygnalizator znajduje się za więcej niż jednymi drzwiami.

Jaki jest wpływ temperatury na rezystancję żył?

Rezystancja przewodów zmienia się w funkcji temperatury. Zgodnie z krzywą ISO temperatura przewodu PH30, pracującego w warunkach pożaru wyniesie po 30 minutach 822°C, a jego rezystancja wzrośnie 4,5x! Temperatura przewodu PH90 po czasie 90 minut wyniesie ok. 955°C, a jego rezystancja wzrośnie prawie 5,3x! Należy to uwzględnić w trakcie projektowania instalacji oraz przyjąć odpowiednie współczynniki bezpieczeństwa. Rezystancja przewodu ma bowiem wpływ na spadki napięć, a co za tym idzie na to czy urządzenie zadziała w warunkach zagrożenia, czy też nie. Spadki napięć można zniwelować, zwiększając, przekrój żył.

Jak czytać i co oznacza kod IP?

Stopnie ochrony zapewnianej przez obudowy (kod IP) to pełna nazwa normy PN-EN 60529. Znaleźć można w niej klasyfikację stopni ochrony zapewnianych przez obudowy urządzeń elektrycznych o napięciu znamionowym do 72,5 kV.

Kod składa się z:

  • pierwszej cyfry charakterystycznej (przed wnikaniem obcych ciał stałych)
  • drugiej cyfry charakterystycznej (przed wnikaniem wody)
  • litery dodatkowej (przed dostępem do części niebezpiecznych)
  • litery uzupełniającej (informacje uzupełniające)

Przykładowo wg norm EN 54-3, EN 54-23 zewnętrzne sygnalizatory pożarowe (typu B) muszą zapewnić ochronę IP33C. Oznacza to, że obudowa zapewnia ochronę przed:

  • dostępem do części niebezpiecznych narzędziem (próbnik 2,5 mm)
  • ciałami obcymi o średnicy 2,5 mm i większej
  • natryskiwaniem wodą (pod dowolnym kątem do 60° od pionu)

Jak obliczyć potrzebną pojemność akumulatorów do zasilacza?

Wymaganą pojemność K [Ah] akumulatora/-ów można obliczyć ze wzoru:

K=1,25*(I1*t1+I2*t2)

Gdzie:

K – wymagana pojemność, w amperogodzinach (Ah)

t1 – czas podtrzymania, w godzinach (h)

t2 – czas alarmowania, w godzinach (h)

I1 – prąd całkowity, który pobiera instalacja systemu sygnalizacji pożarowej w przypadku uszkodzenia źródła energii, w amperach (A)

I2 – prąd całkowity, który pobiera instalacja systemu sygnalizacji pożarowej podczas alarmowania, w amperach (A)

Gdzie szukać dodatkowych informacji dotyczących sygnalizatorów optycznych?

EN 54-23 Fire detection and fire alarm systems. Fire alarm devices. Visual alarm devices (wersja polska PN-EN 54-23:2010 Systemy sygnalizacji pożarowej — Część 23: Pożarowe urządzenia alarmowe — Sygnalizatory optyczne)

PKN-CEN/TS 54-14:2020-09 Systemy sygnalizacji pożarowej — Część 14: Wytyczne planowania, projektowania, instalowania, odbioru, eksploatacji i konserwacji

STANDARD CNBOP – PIB Nr CNBOP–PIB–0019 Ochrona Przeciwpożarowa SYGNALIZATORY OPTYCZNE

NFPA 72 National Fire Alarm and Signaling Code

COP 0001 Loss prevention code of practice. Code of practice for visual alarm devices used for fire warning. Issue 1.0

Jak rozumieć pojęcie wymaganego natężenia oświetlenia?

Wymagane natężenie oświetlenia wg EN 54-23:2010 to natężenie światła 0,4 lm/m2 na powierzchni prostopadłej do kierunku światła emitowanego przez urządzenie.

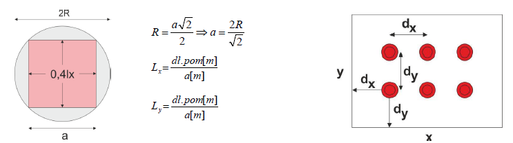
Jak szacunkowo dobrać ilość sygnalizatorów optycznych?

Na stronie W2 udostępnione są kształty brył fotometrycznych dla poszczególnych sygnalizatorów. W zależności od typu sygnalizatora oraz wysokości jego montażu zmienia się promień obszaru pokrycia (fragment przestrzeni, w którym osiąga się wymagane przez normę natężenie światła).

Przykładowo dla sygnalizatora SO-P8/CC (w przypadku ustawień fabrycznych) promień obszaru pokrycia (R) dla wysokości montażu (h=3 m) wynosi 4,1 m. Dzięki temu można obliczyć długość boku (a) oraz pole kwadratu (Sa), dla którego zapewnione jest natężenie światła wynoszące 0,4 lx.

 

kliknij, aby powiększyć

Dla rozpatrywanego przypadku a = (2 x 4,1 m) / √2 ≈ 5,8 m. Pole kwadratu, gdzie zapewniony jest wymagany poziom natężenia światła wynosi Sa = a2 ≈ 33,64 m2. Na podstawie tego można oszacować ilość potrzebnych sygnalizatorów na osi x (Lx ) oraz osi y (Ly ).

Przykład:
Dla przykładu załóżmy, że rozpatrywane pomieszczenie ma wymiary x = 20 m, y = 10 m. W takim przypadku ilość potrzebnych sygnalizatorów na boku x wyniesie Lx = 20 m / 5,8 m ≈ 3,45, natomiast liczba sygnalizatorów na boku y wyniesie Ly = 10 m / 6,93 m ≈ 1,72. Oczywiście należy przyjąć do dalszych szacunków liczby całkowite więc Lx = 4, a Ly = 2. Całkowita ilość potrzebnych sygnalizatorów wyniesie finalnie Lx x Ly = 4 x 2 = 8.

W przypadku, gdy pomieszczenie ma nieregularny kształt, należy je podzielić na mniejsze kwadraty. Do bardziej szczegółowych obliczeń należy wykorzystać pliki *.ies dostępne do pobrania ze strony oraz aplikacje typu DIALux czy Calculux, gdzie możliwe jest uwzględnienie większej liczby zmiennych. Więcej informacji odnośnie rozmieszczania sygnalizatorów optycznych znaleźć można w normie amerykańskiej NFPA 72 National Fire Alarm and Signaling Code.

UWAGA: Powyższy przykład służy do zobrazowania zagadnienia rozmieszczania sygnalizatorów. Jest on poglądowy. W warunkach rzeczywistych należy wziąć pod uwagę wiele dodatkowych czynników.

Co oznacza kod IP21C oraz IP33C zamieszczany przy sygnalizatorach?

Dla sygnalizatorów typu A producent powinien zapewnić minimalny stopień ochrony na poziomie 21C (zgodnie z normą EN 60529:1991 Stopnie ochrony zapewniane przez obudowy (Kod IP) – norma ta precyzuje „…system klasyfikacji stopni ochrony, oznaczanych kodem, zapewnianej przez obudowy urządzeń elektrycznych o napięciu znamionowym nie większym niż 72,5 kV…”) co równoznaczne jest z faktem, iż samo urządzenie chronione jest przed dostępem ciał obcych o średnicy większej lub równej 12,5 mm oraz przed szkodliwymi skutkami wnikania do wnętrza obudowy urządzenia kapiącej wody. Dla samego użytkownika jest to zabezpieczenie przed dostępem palców rąk do części niebezpiecznych.

Sygnalizatory typu B natomiast powinny mieć zapewniony stopień ochrony na poziomie nie mniejszym niż 33C. Zgodnie z normą przywołaną powyżej oznacza to ochronę przed dostępem ciał obcych o średnicy większej lub równej 2,5 mm oraz przed szkodliwymi skutkami wnikania do wnętrza obudowy urządzenia wody natryskiwanej. Użytkownik chroniony jest przed dostępem do części niebezpiecznych, nawet w przypadku użycia narzędzia. Należy jednak w tym miejscu zaznaczyć, iż wyrób powinien mieć zapewnione odpowiednie środki, które ograniczają dostęp do jego wnętrza w celu usunięcia jego części lub całego urządzenia, a także zmiany trybu jego działania np. poprzez specjalne narzędzia (ang. special tool), kody, ukryte śruby, plomby.

Kiedy zalecana jest synchronizacja sygnalizatorów z członem optycznym?

W EN 54-23:2010, NFPA 72 oraz LPCB CoP 0001 zawarte zostały zapisy określające wykorzystanie synchronizacji sygnałów błyskowych generowanych przez sygnalizatory optyczne. W momencie, gdy urządzenia są instalowane w bliskim sąsiedztwie, ich częstotliwość/wzór czasowy błyskania mogą doprowadzić do niepożądanych skutków – takich jak wywołanie napadów u osób cierpiących na epilepsję światłoczułą (szczegółowy opis zagadnienia znajduje się w LPCB CoP 0001). W normie NFPA 72 dodatkowo znajduje się zapis, że synchronizację należy stosować w momencie, gdy z jednego miejsca w budynku są widoczne co najmniej dwa sygnalizatory optyczne.

Certyfikowane sygnalizatory produkowane przez W2 posiadające certyfikowany człon optyczny są wyposażone w funkcję synchronizacji (SO-P8, SAO-P8, SGO-Pgw, SAOZ-Pk2, SGO-Pgz3).

Jakie są zalety sygnalizatorów optycznych z kategorią O?

Zaklasyfikowanie urządzenia jako kategoria O jest najbardziej elastycznym podejściem. Poniżej przedstawiono główne zalety kategorii O w stosunku do dwóch pozostałych (C i W)

  • dzięki dowolnej pozycji montażu (strop, ściana) eliminowana jest konieczność posiadania podwójnych zapasów (urządzenia kategorii C i W mogą być instalowane jedynie w obrębie swojej kategorii)
  • brak ograniczeń co do wysokości montażowej – dla urządzeń optycznych zaklasyfikowanych jako O podawana jest jedynie sugerowana wysokość montażu. W przypadku urządzenia zaklasyfikowanego jako C-3-y nie jest dopuszczalny montaż na wysokości wyższej niż 3 m. W takim przypadku należy użyć innego urządzenia np. C-6-y. Sugerowana wysokość montażu dla kategorii O np. 3 m nie wyklucza montażu urządzenia powyżej tej wysokości. Należy mieć jednak na uwadze, że urządzenie o sugerowanej wysokości montażu 3 m z dużym prawdopodobieństwem będzie pokrywało mniejszy obszar podczas montażu np. na wysokości 4 m
  • urządzenia kategorii O nie podlegają żadnym ograniczeniom – możliwe jest utworzenie największego możliwego obszaru pokrycia w formie dowolnego prostopadłościanu

Urządzenia z członem optycznym firmy W2 (SO-P8, SAO-P8, SGO-Pgw, SAOZ-Pk2, SGO-Pgz3) posiadają kategorię O.

Co oznacza kategoria pokrycia sygnalizatora?

W normie EN 54-23:2010 oprócz podziału ze względu na środowisko pracy został wprowadzony również podział urządzeń wg kategorii pokrycia:

Kategoria “C” dla sygnalizatorów instalowanych na stropach (ang. “C” – ceilling mounted devices)
Kategoria “W” dla sygnalizatorów instalowanych na ścianach (ang. “W” – wall mounted devices)
Kategoria “O” dla sygnalizatorów o klasie otwartej (ang. “O” – open class devices)

W pracy [1] scharakteryzowany został podział wg kategorii pokrycia. Dla sygnalizatorów kategorii C producent musi podać maksymalną wysokość montażu: 3 m, 6 m lub 9 m oraz średnicę (w metrach) cylindrycznego obszaru będącego zasięgiem działania urządzenia zabudowanego na wysokości sufitu, w którym sygnalizator osiąga wymagane natężenie światła. Przykładowo oznaczenie C-3-6 oznacza, że sygnalizator zamontowany na wysokości 3 m zapewnia wymagane natężenie światła w walcu o średnicy 6 m i wysokości 3 m.

Dla urządzeń kategorii W należy określić maksymalną wysokość montażu urządzenia na ścianie (minimum 2,4 m) oraz szerokość (w metrach) sześciennego obszaru, w którym wymagane natężenie oświetlenia jest zgodne z normą. Przykładowo oznaczenie W-2,4-4 oznacza, że sygnalizator zamontowany na ścianie na wysokości 2,4 m zapewni wymagane natężenie światła w przestrzeni o wymiarach 2,4x4x4 m.

Produkowane przez W2 sygnalizatory, posiadające człon optyczny certyfikowany zgodnie z normą EN 54-23:2010 zostały zaklasyfikowane jako kategoria O. Oznacza to, że mogą one być montowane zarówno na suficie, jak i ścianie, a deklarowany obszar pokrycia został przedstawiony za pomocą bryły fotometrycznej. Dokładny kształt bryły dla poszczególnych sygnalizatorów został udostępniony na stronie W2.

[1] Borysewicz Jarosław, Stępień Paweł, Chołuj Łukasz, Wymagania, metody badań i kryteria oceny właściwości sygnalizatorów optycznych (VAD). Metoda pomiaru rozsyłu światła, BiTP Vol. 44 Issue 4, 2016, pp. 159–164

Co oznacza kategoria sygnalizatora (typ A, typ B)?

W normie EN 54-23:2010 wprowadzony został podział na sygnalizatory typu A (do zastosowań wewnątrz) oraz typu B (do zastosowań na zewnątrz). Jest to istotne z punktu widzenia wymogów, które musi spełnić urządzenie. W skrócie urządzenia zaklasyfikowane jako typ B muszą przejść bardziej restrykcyjne badania, przykładowo muszą posiadać wyższy stopień ochrony IP oraz przechodzą dodatkowe testy, które nie są wymagane dla urządzeń typu A. Wszystko to sprawia, że mogą one być stosowane zarówno na zewnątrz, jak i wewnątrz budynków, gdzie np. możliwe jest wystąpienie długotrwałej wysokiej wilgotności powietrza lub/i narażenie na wysoką temperaturę.

Dlaczego obudowa i barwa błysku sygnalizatorów sprzedawanych w Polsce muszą być czerwone?

Każdy sygnalizator akustyczny czy optyczny stosowany w systemie sygnalizacji pożaru musi posiadać stosowne dokumenty potwierdzające spełnienie wymogów prawnych.

Pierwszym prawnie wymaganym dokumentem jest Certyfikat wystawiany na zgodność z normą zharmonizowaną. Obecnie na zgodność z normą EN 54-23:2010, która obejmuje sygnalizatory optyczne wystawiany jest przez CNBOP-PIB Certyfikat Stałości Właściwości Użytkowych. Norma określa wymagania międzynarodowe.

Dla niektórych grup produktów mogą istnieć dodatkowe wymagania krajowe. W przypadku sygnalizatorów akustycznych oraz optycznych są one ujęte w Załączniku do Rozporządzenia Ministra Spraw Wewnętrznych i Administracji z dnia 27 kwietnia 2010 r. (poz. 553). Urządzenia te wchodzą w skład grupy 11 czyli elementów systemów ostrzegania i ewakuacji. W związku z tym konieczne jest wydanie dla nich Świadectwa Dopuszczenia, które potwierdza spełnienie wymagań zawartych w ww. rozporządzeniu. Punkt 11.5.2.1 określa wymagany kolor urządzenia oraz sygnału optycznego:

Obudowa sygnalizatora i kolor światła powinien być czerwony. Na widzialnej powierzchni sygnalizatora powinien być umieszczony napis „POŻAR” koloru białego.

Warto dodać, że w obowiązującej normie zharmonizowanej EN 54-23:2010 uwzględniono również biały kolor emitowanego światła. W związku z tym w krajach, gdzie nie ma dodatkowych obostrzeń lokalnych (np. podobnych do ww. rozporządzenia) możliwe jest również stosowanie sygnalizatorów ze światłem białym, jak i również bez napisu POŻAR. Urządzenia z certyfikowanym członem optycznym produkowane przez W2 (SO-P8, SAO-P8, SAOZ-Pk2, SGO-Pgw, SGO-Pgz3) zostały przebadane zgodnie z normą zharmonizowaną i mogą być w razie potrzeby zamówione również ze światłem białym.

Jakie wymagania powinien spełnić pożarowy sygnalizator optyczny?

Pożarowy sygnalizator optyczny powinien spełniać wymagania normy EN 54-23. Sygnał pożarowy powinien być dobrze widoczny oraz powinien różnić się od innych sygnałów używanych w pomieszczeniach.

Sygnalizatory optyczne powinny być ponumerowane oraz umieszczone w taki sposób, żeby były widoczne z każdego miejsca w przestrzeni, gdzie są wykorzystywane.

Dodatkowo w Polsce sygnalizatory optyczne muszą spełniać wymogi zawarte w rozporządzeniu MSWiA z dnia 27 kwietnia 2010 r.

Gdzie i po co stosuje się sygnalizatory optyczne?

Optyczne urządzenia alarmowe powinno się stosować wszędzie tam, gdzie istnieje możliwość, że przebywają osoby niesłyszące, niedosłyszące, stosowane są ochronniki słuchu lub w obszarach budynku o dużym natężeniu hałasu. Stosowne zapisy odnośnie stosowania sygnalizatorów optycznych znaleźć można m.in. w PKN-CEN/TS 54-14:2006 Systemy sygnalizacji pożarowej — Część 14: Wytyczne planowania, projektowania, instalowania, odbioru, eksploatacji i konserwacji.

„W strefach, w których sygnały akustyczne mogą być nieskuteczne, np. wskutek zbyt wysokiego poziomu szumów tła, upośledzenia słuchu wśród użytkowników lub gdzie prawdopodobnie nosi się ochraniacze słuchu, w uzupełnieniu do sygnałów akustycznych należy stosować sygnały optyczne…”

Sygnalizatory optyczne powinny być stosowane jako uzupełnienie sygnalizacji akustycznej.

„Optyczne urządzenia alarmowania pożarowego powinny być stosowane tylko jako uzupełnienie akustycznych urządzeń alarmowych i nie powinny być stosowane samodzielnie. Każdy optyczny alarm pożarowy powinien być wyraźnie widoczny i powinien odróżniać się od innych sygnałów optycznych używanych w obiekcie.”

Czy sygnalizatory pożarowe posiadają zabezpieczenie przed zmianą polaryzacji napięcia zasilającego?

Tak, sygnalizatory pożarowe posiadają zabezpieczenie przed zmianą polaryzacji napięcia zasilającego.

Czy w sygnalizatorach pożarowych istnieje możliwość wyłączenia sygnału optycznego, pozostawiając sygnał dźwiękowy?

Nie, nie ma takiej możliwości.

Czy można wyłączyć dźwięk w sygnalizatorach z członem akustycznym?

Tak, istnieje taka możliwość. W celu wyłączenia dźwięku, pozostawiając jednocześnie sygnał optyczny, należy stosować wyłącznik WSD-1.

Czy sygnalizatory pożarowe posiadają wbudowany zasilacz, czy należy zasilać je z centrali?

Sygnalizatory pożarowe nie posiadają wbudowanego zasilacza, konieczne jest zapewnienie zewnętrznego źródła zasilania. Do zacisków sygnalizatora powinno być doprowadzone napięcie zgodnie z dokumentacją producenta.

Czy pożarowy sygnał alarmowy może informować o innych zdarzeniach?

Sygnał alarmu pożarowego może być stosowany jedynie w przypadku, gdy pożądana reakcja odbiorcy jest zbieżna z sytuacją zagrożenia pożarowego. W innych przypadkach sygnał alarmu pożarowego nie powinien być stosowany, chyba że jest on rozgłaszany wraz z innymi informacjami.

Jakie są wymagania odnośnie wzoru sygnału alarmowego?

Sygnał alarmowy do celów informowania o zagrożeniu pożarowym powinien być taki sam we wszystkich częściach budynku.

Na terenie kampusu lub miejsca z wieloma budynkami wzór dźwięku alarmowego powinien być taki sam dla wszystkich budynków.

Sygnały z urządzeń alarmowych muszą się różnić od sygnałów eksploatacyjnych.

Jaki poziom dźwięku powinien zapewnić sygnalizator akustyczny?

Poziom dźwięku powinien być wystarczający, żeby akustyczny sygnał alarmowy był dobrze słyszalny ponad ogólnym poziomem hałasu (poziom dźwięków zakłócających). Dodatkowo poziom sygnału nie powinien przekraczać 118 dB(A) w żadnym miejscu, gdzie mogą przebywać ludzie.

Minimalny poziom dźwięku sygnału alarmowego powinien wynieść co najmniej 65 dB(A) lub 10 dB(A) ponad poziom dźwięków zakłócających trwających dłużej niż 30 s (w zależności od tego która wartość jest większa).

Jeśli sygnał alarmowy powinien obudzić śpiące osoby (strefy wypoczynku) to minimalny poziom dźwięku na wysokości uszu śpiących osób powinien wynieść co najmniej 75 dB(A).

Poziomy minimalne powinny być osiągnięte wszędzie tam, gdzie sygnał alarmowy powinien być słyszalny.

Jakiego kabla należy użyć do programowania sygnalizatorów głosowych?

Do programowania sygnalizatorów głosowych należy użyć kabla USB A/micro USB. Po podłączeniu kabla do komputera PC lub laptopa sygnalizator zostanie wykryty jako pamięć masowa.

Uwaga!

Użyty kabel powinien posiadać funkcję transmisji danych (niektóre kable mogą być użyte jedynie do ładowania). Odpowiedni kabel znajdziecie w naszej ofercie.

Jaka jest sekwencja pracy sygnalizatorów głosowych stosowanych w SSP?

Sygnalizatory głosowe muszą spełniać wymagania normy EN 54-3, w której zawarta jest sekwencja pracy:

Sygnał ostrzegawczy od 2 do 10 s

Cisza od 0,25 do 2s

Komunikat głosowy <30 s

Cisza od 0,25 do 2 s

Czy dla sygnalizatorów głosowych wymagany jest pomiar zrozumiałości mowy?

Sygnalizatory SG-Pgw3, SGO-Pgw, SGO-Pgz3 spełniają wymagania normy PN-EN 54-3:2003+A2:2007  Systemy sygnalizacji pożarowej — Część 3: Pożarowe urządzenia alarmowe — Sygnalizatory akustyczne ze zmianą 2, która określa wymagania dla sygnalizatorów akustycznych głosowych. Zakres badań przewidziany dla sygnalizatorów akustycznych głosowych zgodnie z ww. normą nie przewiduje pomiaru zrozumiałości mowy. Warto pamiętać, że sygnalizatory głosowe nie są zamiennikiem DSO, dla którego taki pomiar jest wymagany.

W związku z powyższym dla sygnalizatorów głosowych obowiązują wymagania, które są zawarte w normie PN-EN 54-3:2003+A2:2007. Podczas rozmieszczania sygnalizatorów można dodatkowo posiłkować się Specyfikacją Techniczną PKN-CEN/TS 54-14:2020-09 lub normą amerykańską NFPA 72: National Fire Alarm and Signaling Code. Głównym wymogiem pozostaje jednak zapewnienie wymaganego natężenia generowanego dźwięku.

Jaki jest maksymalny czas trwania odtwarzanych komunikatów w sygnalizatorach głosowych?

Komunikat może mieć maks. 30 sekund – wielkość plików z komunikatami sumarycznie nie może przekroczyć 2 MB.

Ile żył należy doprowadzić do sygnalizatora, aby wyzwolić jeden komunikat?

W celu wyzwolenia pojedynczego komunikatu do sygnalizatora głosowego wystarczy doprowadzić 2 żyły. Jeśli istnieje potrzeba synchronizacji kilku sygnalizatorów, należy połączyć układ zgodnie ze schematem dostępnym w opisie produktu.

Czy w sygnalizatorach głosowych można przypisać inną syrenę dla poszczególnych komunikatów?

Nie ma takiej możliwości. Wybór sygnału alarmowego jest dokonywany dla wszystkich komunikatów.

Kiedy wymagane jest stosowanie synchronizacji pomiędzy sygnalizatorami głosowymi?

Stosowanie synchronizacji wymagane jest przy nagłaśnianiu korytarzy, pomieszczeń, w których jednocześnie mogą pracować co najmniej dwa sygnalizatory. Przykładem takiej sytuacji może być nagłaśnianie korytarzy w hotelach. Sygnalizatory powinny być synchronizowane w ramach jednego piętra, natomiast pietra nie muszą być ze sobą synchronizowane. W przypadku braku synchronizacji sygnalizatorów, odtwarzany komunikat może być niezrozumiały, ze względu na różnice w czasie rozpoczęcia odtwarzania komunikatów przez sygnalizatory.

Czy istnieją standardowe komunikaty alarmu pożarowego?

Komunikaty alarmu pożarowego powinny być dostosowane do specyfiki obiektu, treść komunikatów jest uzależniona od sposobu zrealizowania systemu SSP w budynku. Treść komunikatu powinna ustalać osoba projektująca instalację SSP lub osoba odpowiedzialna za bezpieczeństwo pożarowe w danym budynku.

Ile sygnalizatorów głosowych można podłączyć w ramach jednej sieci synchronizowanej?

W ramach jednej sieci z wykorzystaniem funkcji synchronizacji można łączyć do 10 szt. sygnalizatorów. Nie zaleca się łączenia sygnalizatorów w duże rozległe sieci, ponieważ uszkodzenie przewodu/sygnalizatora w czasie pożaru może spowodować uszkodzenie całej sygnalizacji pożaru (w najlepszym przypadku utratę jedynie synchronizacji).

Czy sygnalizatory głosowe mogą być synchronizowane ze sobą?

Tak, sygnalizatory SG-Pgw2, SG-Pgw3, SGO-Pgw, SGO-Pgz3 mogą być ze sobą synchronizowane. W celu wykonania synchronizacji należy połączyć układ zgodnie z wytycznymi podanymi w opisach poszczególnych produktów. Dodatkowo należy pamiętać, że w każdym sygnalizatorze, który ma pracować w sieci, musi być wgrany i wyzwalany ten sam komunikat.

Czy sygnalizatory pracujące w sieci mogą być zasilane z różnych źródeł?

Tak, sygnalizatory pracujące w ramach jednej sieci (synchronizowane ze sobą) mogą być zasilane z różnych źródeł. Należy pamiętać, że w takim przypadku istotne są opóźnienia załączenia poszczególnych grup sygnalizatorów. W przypadku, gdy są one znaczące, sygnalizatory będą ze sobą synchronizowane jednak dopiero od kolejnej rozpoczętej sekwencji.

Dodaj swoją opinię o produkcie